Publicar en el IEA

1.- Si usted es autor/a de una obra de temática almeriense o es un almeriense -o persona con acreditada vinculación a la provincia- que realiza creación literaria y, además desea que su trabajo sea publicada por el Instituto de estudios almerienses, debe saber que:

- Las solicitudes de personas físicas serán tramitadas a través de la Convocatoria de Publicaciones Externas para la cual se abre anualmente un plazo de presentación de solicitudes conforme a las bases publicadas en el BOP.
- Si quiere consultar las bases de anteriores convocatorias están a su disposición aquí.

2.- En el caso de solicitudes de otras entidades públicas o privadas para coedición o colaboración de publicaciones deberán presentar su petición a través de la oficina virtual acompañada del proyecto concreto de la obra que deberá ajustarse al marco competencial de este centro de estudios locales.


NORMATIVA DE PRESENTACIÓN DE MATERIAL DE PUBLICACIÓN


Propiedad Intelectual


En calidad de editorial, el Instituto de Estudios Almerienses (IEA) debe velar por el cumplimiento que reconoce a los creadores el Real Decreto Legislativo 1/1996 de 12 de abril, por el que se aprueba el texto refundido de la Ley de Propiedad Intelectual. Por lo tanto, los autores de obras deberán cumplir el citado marco legal. Para la reproducción de cualquier material perteneciente a archivos, tanto de titularidad pública como privada, será necesario que el autor de la obra acredite la autorización del correspondiente Archivo antes de poder incluirlo en el trabajo que pretenda realizar, asimismo deberá citar procedencia y signatura.

De acuerdo con la Ley expresada con anterioridad la propiedad intelectual de una obra literaria, artística o científica corresponde al autor, por el solo hecho de su creación (artº. 1º), y son objeto de propiedad intelectual, entre otras, las obras fotográficas y las expresadas por procedimiento análogo a la fotografía (artº 10º). Esto incluye reproducciones de grabados, pinturas, ilustraciones o similares.


Respecto a las obras colectivas, según el art.8 del Real Decreto Legislativo 1/1996, del 12 de abril, por el que fue aprobado el Texto Refundido de la Ley de Propiedad Intelectual:

se considera una obra colectiva cuando ha sido creada por iniciativa y bajo la coordinación de una persona natural o jurídica a cuyo nombre consta la edición y la divulgación de la obra; asimismo, la obra es una recopilación de aportaciones de diferentes autores y dichas contribuciones personales se fusionan en una creación única y autónoma. De modo que no es posible atribuir a cualquiera de los autores un derecho sobre el conjunto de la obra. A excepción de que se acuerde lo contrario, los derechos de la obra pertenecerán a la persona encargada de su edición y de su divulgación bajo su nombre.

Si se incluye en la publicación una fotografía ya divulgada, habrá que contar con su autorización e incluir "la fuente y el nombre del autor de la obra utilizada (artº 32º). En cualquier caso, siempre se ha de respetar la autoría y procedencia de la imagen teniendo en cuenta que el autor tiene los derechos de explotación de la obra durante su vida, y sus herederos, los setenta años posteriores a su muerte (artº 26º) -u ochenta en los casos especificados en la disposición transitoria segunda. Si renuncia a este derecho o transcurre este tiempo, la obra pasa a ser de dominio público y se puede utilizar sin solicitar el permiso del autor.


Las obligaciones de los autores ante el IEA


Es obligación del autor frente al Instituto de Estudios Almerienses: responder de la autoría y originalidad de la obra y del ejercicio pacífico de los derechos que haya cedido; asumir la responsabilidad de afrontar las reclamaciones que puedan formular terceros respecto al contenido o titularidad de la obra; así como responsabilizarse de los daños y perjuicios que se puedan derivar al Instituto de Estudios Almerienses por los motivos mencionados.
El autor que aporte material gráfico ajeno deberá contar con la autorización pertinente para poder utilizarla en la obra que presenta, eximiendo al IEA de cualquier responsabilidad sobre su utilización para el citado fin. En otras palabras, cualquier imagen que se incluya en una publicación deberá ir acompañada de autorización para su reproducción, autoría y procedencia. En el pie de la imagen se incluirá, además de los citados datos, un texto que deberá ser lo más descriptivo posible. 


INDICACIONES PARA LA PRESENTACIÓN DE MATERIAL DE PUBLICACIÓN PARA LA EDICIÓN IMPRESA O DIGITAL

Los textos (contenido escrito e ilustraciones) que vayan a ser editados para su publicación impresa o digital se presentarán de acuerdo con las normas siguientes, que hacen referencia a los formatos a los que deben adecuarse los textos y el material gráfico (fotografías, grabados, cuadros y tablas). Tanto el texto como el material gráfico aportado se considerará versión definitiva, no admiten cambios en ellos una vez iniciada su edición. Una vez maquetados los libros, solo se corregirán los errores de maquetación; no se atenderán variaciones de contenido o de orden, referidas al texto, notas o material gráfico.
Revise CONCIENZUDAMENTE los textos definitivos antes de la entrega final de los mismos para su publicación. Siempre es conveniente realizar correcciones ortográficas que permite el programa de tratamiento de textos, así como imprimir los textos y controlar los errores ortográficos, lógicos, de espaciado, etc., manualmente.

CONSIDERACIONES RESPECTO A LOS TEXTOS


Original:
Se entregarán dos originales:

- Un formato PDF donde se situarán las imágenes insertas en el texto, que servirá de modelo al maquetador. En caso de no poder insertar las imágenes en el texto, se escribirá «IMAGEN 01» con un salto de línea antes y otro después en el sitio donde se desee que aparezca la ilustración.

- Un formato de tratamiento de textos (por ejemplo, un sistema como Word o similar acabado en .doc/.docx) que, para la realización de la maqueta, irá sin las imágenes. Por motivos de compatibilidad con los programas de autoedición, los archivos realizados en Open Office serán guardados para salida en .docx 

Composición del texto:

- Tipografía: Times New Roman. Cuerpo 12. Interlineado sencillo (1.0).
- No se dejará sangría ni espacio en blanco tras cada punto y aparte.

 ejemplo composicion de texto

- El cuerpo de texto se separará de los epígrafes (títulos y subtítulos), dejando un espacio en blanco antes de estos y otro después. Dichos epígrafes aparecerán en minúscula y sin punto final. Será en la maquetación donde se le dé el estilo de formato definitivo.
 normativa para epigrafes
- Los títulos deben ser concisos y llamativos. Para ello se puede recurrir a la nominalización (convertir en sustantivos los verbos, núcleos fundamentales de toda oración; de modo que el resultado es un sintagma nominal) u otros procedimientos que permitan abreviar oraciones. Asimismo, para captar la atención del lector, se puede configurar el título con un juego de palabras, emplear una figura retórica, etc (ej: El sueño oriental de Napoleón). Si resultara imprescindible añadir más información en la cubierta de la obra, se puede optar por un subtítulo. 
-Los distintos niveles de los epígrafes se expresarán preferiblemente con títulos, sin ningún tipo de numeración, ya que tales niveles serán claramente discernibles mediante estilos de texto que se aplicarán en la maquetación, atendiendo al modelo preestablecido en la colección a la que temáticamente pertenezca. Solo se emplearán números en situaciones especiales que justifiquen su presencia. Los títulos, subtítulos y el resto de niveles no llevan punto final.
 normativa para niveles de epigrafes
-Las citas textuales de menos de cuarenta palabras deben escribirse entrecomilladas. Se prefiere el uso de las comillas angulares o españolas (« ») frente a las inglesas (“”), atendiendo a la jerarquía de comillas establecida en caso de citar un texto que contiene citas literales: primero las españolas, a continuación las inglesas y, en última instancia, las simples («“ ‘ ’ ”») . Se deben utilizar las comillas de manera homogénea (si se eligen las españolas, se aplicarán tanto en el cuerpo de texto como en las notas al pie de página y en los pie de foto las mismas y no diferentes.
- La negrita ha de evitarse sin excepciones. Se empleará la cursiva como recurso tipográfico para destacar datos concretos de especial interés, extranjerismos, etimologías, y cualquier palabra o expresión que se quiera resaltar en el texto. No obstante, es aconsejable evitar el abuso de  la cursiva: en caso de que sea necesario enfatizar con frecuencia un número abundante de términos y expresiones, se prefiere el uso de otros recursos de énfasis  como adelantar la posición de dichos términos en el texto (colocarlos en primer lugar).
- Dentro del texto no deben aparecer palabras ni fragmentos subrayados.


Errores más frecuentes en el texto:
- Separación entre palabras de más de un espacio.
- Dejar un espacio entre palabra y signo de puntuación.
 errores
- Utilizar espaciados o tabulaciones para realizar una sangría de primera línea.
- Emplear espaciados para alinear el texto o números en una tabla, para ello se utilizan las tabulaciones.


Notas al pie de página:
Las notas al pie de página son referencias situadas en la parte inferior de una página, conocida como pie de página. Debido a su naturaleza referencial (aluden a algún aspecto o aclaran un dato junto al que aparecen en el cuerpo de texto), el contenido de dichas notas ha de ser alusivo o complementario a la información junto a la que aparece en el cuerpo de texto. Las notas a pie de página pueden contener: la fuente de una cita, una referencia de una obra mencionada en el texto principal, un breve comentario sobre algún aspecto tratado o información adicional estrictamente necesaria para comprender el texto. En caso de que la información necesaria para que se entienda el texto sea muy extensa, se debe incluir dentro del cuerpo de texto en un párrafo explicativo. El número de cada una de las notas que aparecen a pie de página debe ir en superíndice, al igual que su referente. Con el fin de agilizar la lectura, se ha de emplear un reducido número de notas a pie página y que estas no sobrepasen un límite de cuarenta palabras. 
 notas a pie de página
Notas al final
En el caso de las publicaciones en la Revista Real, con el objetivo de no interrumpir la lectura, la información extra o complementaria que se quiera aportar en determinadas partes del texto aparecerá al final de todo el documento con el nombre de «Notas al final». Al igual que las notas al pie de página (cuyo contenido es el mismo), el número de estas notas situadas al final del artículo debe aparecer en el superíndice junto al referente al que alude. Asimismo, se debe emplear un número limitado de dichas referencias y la longitud de cada una de ellas no puede superar las cuarenta palabras.


Sistema de citación APA
APA es el sistema de citas elegido por el Instituto de Estudios Almerienses para referenciar tanto las obras como los artículos, destinados a su publicación en las diferentes convocatorias que abre este centro de estudios locales o en la Revista Real. Su establecimiento como modelo de citación, se debe a que se trata del sistema de referencias y citación bibliográfica que presenta los criterios más estándares a nivel internacional.


Citas en el texto, APA
Son las referencias que aparecen dentro del cuerpo de texto a los estudios de los que proceden las ideas citadas textualmente o mediante paráfrasis. Independientemente de la naturaleza de la fuente referenciada (libro, artículo de periódico o de revista, página web, película, serie, documental, vídeo subido en una plataforma digital o red social, etc.) El esquema que se seguirá para aludir a dicha fuente en el texto es el siguiente: (Apellidos del autor, año de publicación y páginas pp.). En el caso del material audiovisual (vídeos, series, documentales y películas); como no presentan páginas, se indicarán los minutos concretos que abarca el fragmento seleccionado. Así como los vídeos subidos a plataformas digitales como youtube se citarán en el texto aludiendo al usuario que ha publicado el vídeo deseado. Las citas deberán mantener uniformidad durante toda la obra y se realizarán del modo siguiente: 
Ej: (Cuenca Toribio, 1993, pp.171-173).
Ej: (Daniel Geohistoria, 2019, 1:10-3:12).
- Cita idéntica a la anterior (sacada de la misma obra):
 Ibidem
- Cita de la misma obra anterior, pero en páginas distintas:
 ibid
- Obra citada con anterioridad, para no repetir el título de la misma :
Cuenca Toribio, Op.Cit, p. 8. 
*Esta forma es correcta, pero está cayendo en desuso. Se prefiere volver a mencionar la obra acortando el título. Ej: Escribir la Historia verdadera de Bernal Díaz del Castillo en lugar de la Historia verdadera de la Conquista de la Nueva España de Bernal Díaz del Castillo.

Referencias bibliográficas, APA:
Son aquellas referencias a las obras citadas en el texto que contienen toda la información completa para que los lectores puedan consultar la bibliografía con la que el autor ha configurado su producto. Han de aparecer siempre al final todas juntas y no se puede referenciar ninguna obra o estudio que no se haya citado en el cuerpo de texto previamente.

- Referencia de un libro: Apellidos e inicial del autor, año de publicación, título de la obra en cursiva y editorial. Indicar las páginas al final cuando solo se ha tomado la información una serie de páginas concretas.


Ej: Cuenca Toribio, J.M. (1993). Historia de Córdoba. Librería Luque de Córdoba, pp. 170-180.


- Referencia de un capítulo de un libro: Apellidos e inicial del autor, año de publicación, título del capítulo en letra redonda (sin entrecomillar), inicial y apellidos del editor (Ed.), título del libro en cursiva (páginas del capítulo concreto, pp.), editorial en letra redonda.

Ej: Arias, E. (1997). Andalucismo político. En A. Blas Guerrero (Ed.), Enciclopedia del Nacionalismo.

- Referencia de un artículo de una revista: Apellidos e inicial del autor, fecha de publicación, título del artículo en letra redonda, nombre de la revista en cursiva, número de volumen y páginas que ocupa el artículo. En el caso de una revista electrónica se añadiría el enlace al artículo al final (DOI o URL). 


Revista en papel: 

Ej: Castillo Arenas, F. (2001). El Andalucismo en Córdoba y Provincia durante la Transición (1975-1982). Revista de Estudios Sociales y Humanidades de Córdoba, 5(6), 98-105.

Revista electrónica: 

Ej: Del Castillo Montes, L.J. (2015, 8 de octubre). Lenguaje especializado en blogs de reseñas. Revista Electrónica del Lenguaje. 1(9), https://www.revistaelectronicalenguaje.com/volumen-i/


Referencia de un periódico (el mismo procedimiento que para citar el artículo de una revista, pero precisando también el día y el mes junto con el año de publicación):


Ej: Núñez, J., Domínguez, Í. (23 abril de 2024). El Gobierno aprobará un plan para indemnizar a las víctimas de pederastia del clero, con o sin la colaboración de la Iglesia. El País.https://elpais.com/sociedad/2024-04-23/el-gobierno-aprobara-un-plan-para-indemnizar-a-las-victimas-de-pederastia-del-clero-con-o-sin-la-colaboracion-de-la-iglesia.html


- Referencia de una documentación archivística:
   referencia a documentación archivística
Dado el carácter divulgativo de los artículos destinados a la Revista Real, actas de congresos y conferencias que se publican en el Instituto de Estudios Almerienses; cuando el documento presente una bibliografía amplia (superior a dos páginas), se deben reducir las referencias bibliográficas citadas en el texto del cuerpo siguiendo un criterio cronológico: si su intención es parafrasear o tomar citas textuales de varios artículos o estudios que comparten las mismas ideas, escoja el artículo, obra o estudio más antiguo y el más reciente. Tenga en cuenta que en un párrafo equilibrado (máximo entre 10 o 12 líneas) se desarrolla una única idea y para argumentar es suficiente con hacer referencia al estudio más antiguo, para reflejar el conocimiento que se tiene de la cuestión tratada; y el más reciente, cuya información está más actualizada que la de estudios anteriores.

Uso correcto de la raya (—) y el guion (-): 


La ortografía del uso de la raya y el guion está clara y extensamente definida por la Real Academia Española de la Lengua. 
Ejemplos:
—Espero que todo salga bien— dijo Azucena con gesto ilusionado.
Las dos terminaciones ontológicas cardinales que en ella describe Sartre —ser-para-sí, ser-para-otro— tienen en el «ser-para» su fundamento común (Laín Teoría [Esp. 1983] 645).
En caso necesario pueden consultarse las entradas correspondientes de raya y guion en Internet.


CONSIDERACIONES RESPECTO AL MATERIAL GRÁFICO


Como se ha comentado, se entregará una copia en formato PDF donde se situarán las imágenes insertas en el texto, que sirva de modelo al maquetador. 
En caso de no poder insertar las imágenes en el texto, se escribirá «IMAGEN --» con un salto de línea antes y otro después en el sitio donde se desee aparezca la ilustración.
En carpeta aparte se presentarán las ilustraciones numeradas y un documento donde, con esa misma numeración, se incluyan los pies de fotografía.
Cada fotografía debe llevar un pie de ilustración descriptivo, el autor y la fuente de la misma.
No se admitirán ilustraciones para las cuales no se tenga permiso de reproducción, no incluyan pie de foto o no aporten información relevante a los textos.


Fotografías y dibujos
Los originales se entregarán en formato digital, si es posible. En caso necesario el material podrá ser digitalizado por los servicios técnicos, para ello las fotografías y dibujos habrán de tener la máxima calidad para ser escaneadas. 


Podrán digitalizarse:
- Fotografías positivadas, diapositivas o negativos, dibujos y grabados.
- Los dibujos a una sola tinta y plumillas deberán tener un tamaño igual o ligeramente superior al que van a imprimirse y en tinta negra. 
- Si se trata de material impreso, se proporcionarán los libros o folletos correspondientes, así como la referencia bibliográfica que se ha de adjuntar en el pie de foto o en los créditos, respecto a la propiedad intelectual de tal material impreso. 
- En caso de imposibilidad de disponer de los originales, pueden aportarse fotocopias en color, aunque se trate de imágenes a una sola tinta, al doble del tamaño en que vayan a ser reproducidas.
- Nunca deberán entregarse fotocopias en blanco y negro, salvo que se trate de dibujos tipo plumillas a una tinta y con elevada calidad. Serán descartadas fotocopias con manchas grises o distorsiones propias de una fotocopia de baja calidad.

 Cuando se entreguen originales en formato digital deberán tenerse en cuenta:
- Formato jpg (compresión calidad máxima o alta).
- Las ilustraciones se entregarán a la mayor resolución de imagen posible, con un mínimo de 1800x1200 píxeles, para fotografías que vayan a imprimirse en offset (300 ppp) en el tamaño 15x10 cm. Esta misma fotografía aparecerá muy grande en la pantalla de cualquier ordenador (72 ppp), pero será adecuada para imprimirla en la imprenta. Para tamaños superiores las tomas aumentarán proporcionalmente el número de píxeles (2500x1800 píxeles para un tamaño de impresión offset (300 ppp) de 21x15 cm).
- Como norma general las imágenes tendrán un tamaño superior a 1 MB.

No se admiten bajo ningún concepto fotografías o dibujos procedentes de Internet, puesto que no presentan una calidad suficiente (menos de 300 puntos por pulgada) para la impresión offset y podrían plantear problemas de derechos de autor.

Si se aportan imágenes escaneadas, el escaneo deberá hacerse a 300 puntos por pulgada (fotos en escala de grises o en color) o 600 puntos por pulgada (dibujos a una tinta), y a un tamaño igual o superior al que se vayan a editar (siempre es preferible que el tamaño sea superior al de reproducción final). Al guardarlos en jpg, seleccione opciones de compresión calidad máxima o alta.

Los originales procedentes de programas vectoriales como Ilustrator se entregaran en formato .ai o .svg 

Las imágenes (fotografías, ilustraciones, etc.) deberán aparecer en archivos independientes cada una con el mismo nombre con el que se hace referencia en el texto a la que será su ubicación definitiva en la maqueta (ej: Si en el texto aparece que la Imagen 1 debe figurar en el capítulo 1, el archivo de la imagen también ha de llamarse Imagen 1). 

Pies de foto
Deben de ser lo más descriptivos posibles, debe aparecer la autoría y la fecha en la que se tomó la fotografía o se hizo la ilustración.
De cara al trabajo de maquetación, se ruega que  cada uno de los pies de foto se envíe en un documento independiente al del texto y a los de las imágenes y que se llamen igual que sus correspondientes imágenes o que se numeren, si las imágenes se han numerado (ej: Pie de foto 1).


Tablas y gráficos
- Ambos deberán presentarse numerados y en archivos independientes, es decir, separados del cuerpo del texto donde se incluirán.

- Todas las tablas y gráficos han estar unificados en cuanto a tamaño, estilo y tipo de letra.

- El tamaño total de cada uno de los mismos no puede sobrepasar los límites de la caja de texto del DIN-A4.

- Igualmente, sólo serán empleados si la información que aportan no se puede exponer adecuadamente en el cuerpo de texto, descartándose tablas de menos de cuatro filas y cuatro columnas.
- Las tablas que ocupan más de una página son menos manejables y claras, que si son menores.
- Emplee sistemas de alineamiento diferente según se trate de textos (centrados o en bandera a la izquierda) o cifras (en bandera a la derecha). Seleccionando columnas completas o partes de las mismas es fácil aplicar dichos alineamientos particularizados.

Para facilitar el proceso de maquetación, cada una de las tablas debe figurar en un documento independiente al texto (ambos documentos se entregarán a la vez) y deben aparecer numeradas (ej: Figura 1 o tabla 1), siendo imprescindible mencionar la ubicación donde debe ir cada una de ellas en la maqueta definitiva.

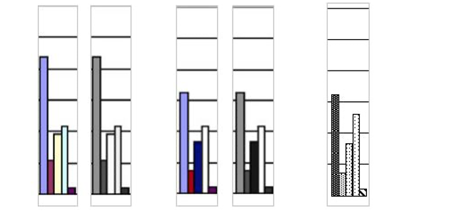
Uso del color, grises y tintas en los gráficos y dibujos
Cuando realice un gráfico o dibujo deberá tener en cuenta si va a publicarse a todo color o a una sola tinta. En este último caso, los colores empleados en dicho elemento gráfico se convertirán en distintos porcentajes de negro o de la tinta utilizada. Esta conversión reducirá las posibilidades de representación a 256 tonalidades y, por eso, colores que tengan tonalidades semejantes serán representados por el mismo porcentaje o por uno muy próximo, lo cual determinará que no sean distinguibles uno del otro. En consecuencia, es imprescindible que se usen colores de tonalidades contrastadas (que no entren dentro de la misma gama de grises) y, preferiblemente, emplear tramas a una sola tinta en lugar de colores. 
 uso del color
Ejemplos. Los dos primeros gráficos muestran un caso de colores de tonalidades similares, convertidos a grises. El tercero y el cuarto son el mismo gráfico con colores de tonalidades contrastadas. En el quinto, el gráfico se ha confeccionado usando tramas a una sola tinta.


FORMA DE PRESENTAR LAS CORRECCIONES A LA MAQUETA REALIZADA


Las correcciones a la maqueta se realizarán en el original entregado para su corrección, mediante el software libre Acrobat Reader. Para ello señalaremos con el marcador amarillo la palabra o frase a modificar y añadiremos una nota con la modificación a realizar. Ejemplo:
 
como señalar las correcciones en un pdf

Galería de imágenes:

Ver imagenVer imagenVer imagenVer imagenVer imagenVer imagenVer imagenVer imagenVer imagenVer imagen